Dielectric elastomers are capable of large voltage-induced deformation, but achieving
such large deformation in practice has been a major challenge due to electromechanical
instability and electric breakdown. The complex nonlinear behavior suggests an important
opportunity: electromechanical instability can be harnessed to achieve giant voltage-induced
deformation.
We introduce the following principle of operation: place a dielectric elastomer
near the verge of snap-through instability, trigger the instability with voltage, and bend the
snap-through path to avert electric breakdown. We demonstrate this principle of operation
with a commonly used experimental setup—a dielectric membrane mounted on a chamber of air.
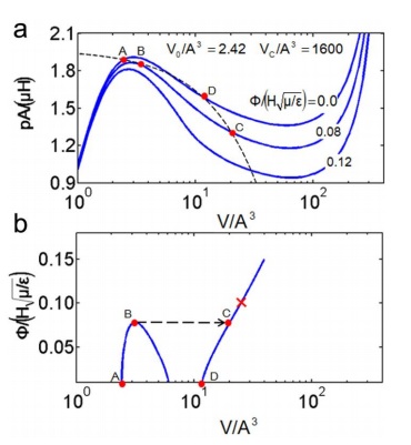
We use a computational model to analyze inhomogeneous deformation and map out bifurcation
diagrams to guide the experiment. With suitable values of the parameters, we obtain giant
voltage-induced expansion of area by 1692%, far beyond the largest value reported in the
literature.
| Attachment | Size |
|---|---|
| Giant voltage-induced deformation in dielectric elastomers near the verge of snap-through instability.pdf | 1.59 MB |
| 1.jpg | 41.12 KB |
| 2.jpg | 63.22 KB |
great work!
great work!