Skip to main content

Solve 2d diffusion equation

Submitted by xiashengxu on

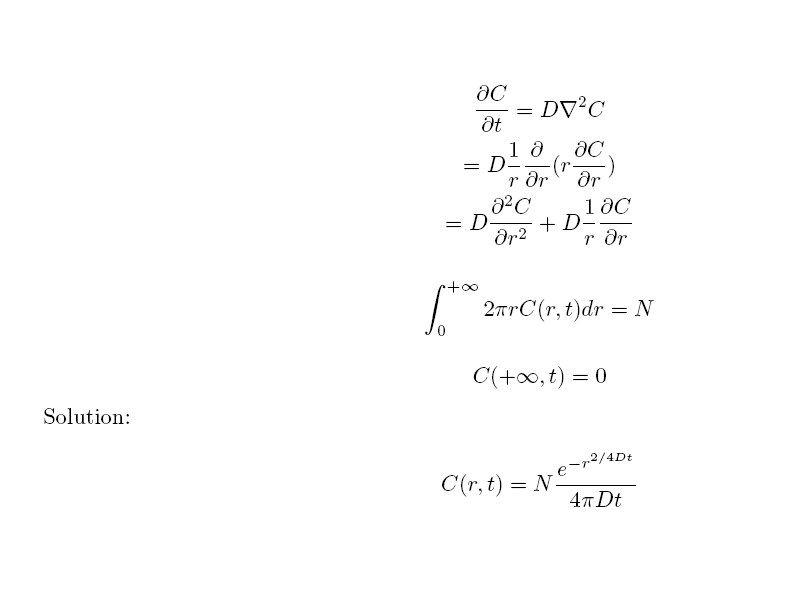
the problem described by these equations is: at time=0, N particles are dropped onto an infinite plane to diffuse. C(r,t) represents the concentration density of particles



The solution is very simple, but I want to see the procedure.

Thank you very much!

Attachment Size
diffusion.png 22.39 KB