dear Friends
Langquan Shui, Laibing Jia, Hangbo Li, Jiaojiao Guo, Ziyu Guo, Yilun Liu, Ze Liu & Xi Chen (Nat.Comm.(2020), 11(1), 1583) have made interesting experiments showing increased adhesion when applying high-frequency vibrations. The effect was explained by a non-symmetrical effect in the contact area oscillation ruled by the well known empirical Gent and Schultz law (GS). However, Shui et al solution (Eq.3) appears not to depend on GS constants, which appears incorrect, and makes the model not valid in the paper. So I wrote a comment to Nat Comm to stimulate a discussion:
If anyone is interested to discuss, please let me know.
Regards
Mike
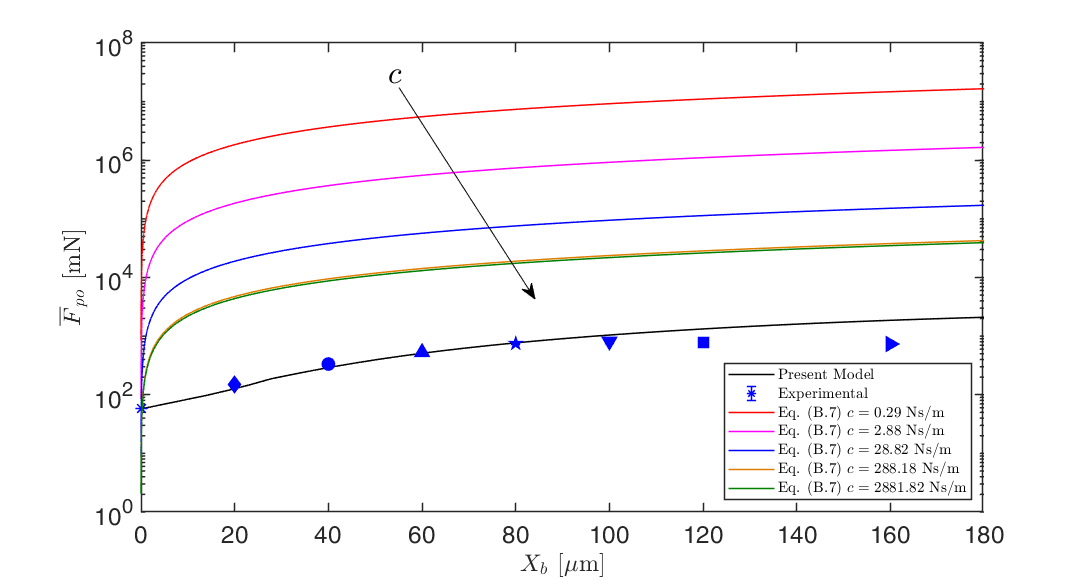
UPDATE: We tested the Shui et al. equation, and we could not find any possible fit of our test, with any arbitrary value of damping factor "c", see image attached.
| Attachment | Size |
|---|---|
| Shui_different_c.png | 49.33 KB |
Reply to Michael's comment
Dear Michael:
Thank you for your interest in our work. Perhaps we didn't specify the parameter space explicitly in our work. The model is intended to explain parallel experiment in a simple way, and thus necessary simplification and assumption are needed. Here is our reply: https://www.researchgate.net/publication/386115815_Reply_A_comment_on_v…;
Best regards.
very strange derivation of a (non) theory then!
dear Xi Chen
many thanks for your reply. If I understand correctly, you did recognize the crucial role of viscoelastic dissipation at the tip of contact, ruled by Gent and Schultz law, which is why you spend a lot of equations and of figures about that. However, when it came to obtain an estimate of pull-off, you were not able to obtain the effect of Gent and Schultz constants in the model, and hence put everything together in a coefficient of damping c. Even assuming this is correct and "c" could be really constant across various amplitudes and frequencies of excitement (which I doubt because of the non linearity of the Gent Schultz law), this is not a predictive model, because as I said you cannot estimate what is "c" as function of the crucial Gent Schultz properties in the model.
We have more comments on your paper on Appendix B of https://arxiv.org/pdf/2411.03182
regards, Mike
to test your "equation", we tried various damping factor
dear Xi Chen
to test if your equation can give reasonable prediction of actual experimental data, even assuming ANY value for the damping coefficient c which you suggest should be tested experimentally, we changed the value of c by several orders of magnitude with respect to the value we reported in Appendix B of https://arxiv.org/pdf/2411.03182, and the theory simply can never work, unfortunately. You can find this attempt in the main post, where I have added a figure as an attachment.
Sorry!
MC