Skip to main content

phase field modelling

Submitted by Surendran M on

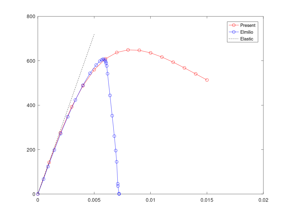
Hi I tried to code a basic phase field model for fracture in octave.

It doesn't seem to converge to the correct load. It fails later.

Also mesh refinement did not improve the results.

The link to the GIT is here

https://github.com/dontcallmesuren/Phase-field-modelling.git

Any idea where I am wrong?

Ping me. Thanks in advance.

Attachment Size
load_def.png 44.18 KB